| on 05 June 2025
In May, our team attended CLEO, the Conference on Lasers and Electro-Optics, in Long Beach, California. CLEO created a dynamic setting to introduce our latest solutions, share insights, and engage with laser technology groups and the ultrafast and quantum optics community.
Amongst the various Quantum Optics topics discussed, many Time Tagger users presented work using Spontaneous Parametric Down Conversion. This gave us the opportunity to catch up with users, and learn more about their current projects and future plans.
We had the pleasure of being located right next to our friends from Thorlabs! The Thorlabs Quantum Optics Educational Kit showcases our Time Tagger 20, providing a fantastic package for quantum research and education groups looking for a streamlined one-stop solution.
We also had the chance to meet up with and learn more about the most exciting research advancements during the poster sessions, which showcased our Time Taggers:
Bryan Turo at CREOL, University of Central Florida, is working on shaping and analyzing non-local spacetime wavepackets generated via Spontaneous Parametric Down Conversion (SPDC). He uses the Time Tagger Ultra for coincidence and single detection to characterize spatial-temporal correlations in signal and idler photons.

Georgios Papangelakis’ team at the University of Toronto uses the Time Tagger X to measure time-domain and FrFT-domain correlations of SPDC photon pairs. Their approach improves noise rejection with applications in quantum communications and LiDAR.

Siyuan Zhang from Duke University presented his work on tunable nanoscale sources for quantum photonics. His team uses the Time Tagger X to explore SPDC in plasmonic nanocavities, including second-order correlation and lifetime measurements.
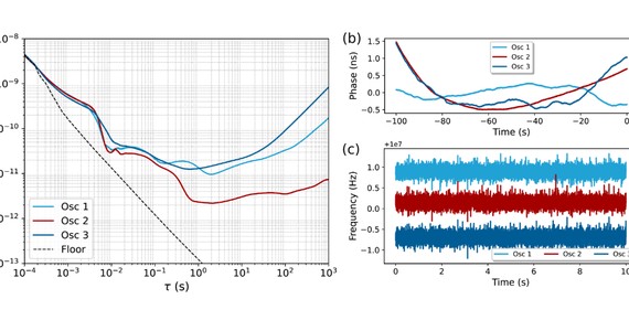
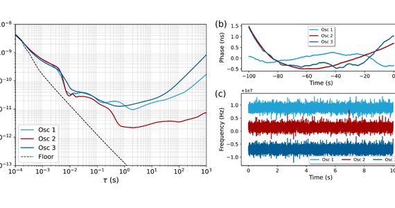
Beyond these insightful conversations at the poster session, additional discussions arose from our live demonstrations. We showcased our fluorescence lifetime measurement in our TimeTaggerLab, using a Pulse Streamer 8/2 to pulse a laser source and a Time Tagger X to acquire and analyze tags from a SPAD detector. Additionally, we conducted frequency stability measurements to characterize an oscillator and obtain ADEV, MDEV, and HDEV measurements in real-time.
Lastly, the Swabian Instruments booth included our interactive red button game, in which participants can measure their reaction speed with picosecond resolution. This game features a light tower, and participants are challenged to press the button when the light changes colors. Using a Time Tagger 20, the game measures the time difference between when the tower changes color and when the participant presses the button. Bringing out the competitive spirit in many attendees, the red button game is a crowd favorite!

CLEO 2025 connected us with the quantum optics community through engaging demonstrations and insightful discussions on SPDC. Many researchers presented innovative work powered by our Time Taggers, and we showcased live experiments, including fluorescence lifetime measurements and real-time oscillator stability analysis. A highlight of our booth was the interactive red button game, which let participants test their reaction time with picosecond precision, demonstrating the capabilities of our Time Tagger 20 in a fun and memorable way.
Periodic electrical signals are the heartbeat of modern technology. Stable frequency sources are critical across a wide range of disciplines, from oscillators that regulate computer processors and industrial machinery to high-precision atomic clocks used in scientific and navigational applications.
Read moreFluorescence Lifetime Imaging Microscopy (FLIM) and Fluorescence Correlation Spectroscopy (FCS) are two pivotal techniques for investigating molecular dynamics and photophysical properties in complex biological systems.
Read more